合作客戶/
拜耳公司 |
同濟大學 |
聯合大學 |
美國保潔 |
美國強生 |
瑞士羅氏 |
相關新聞Info
推薦新聞Info
-
> 溫度和碳碳雙鍵數對脂肪酸酯表面張力的影響(二)
> 溫度和碳碳雙鍵數對脂肪酸酯表面張力的影響(一)
> 二甲亞砜與二甲苯異構體混合物的體積收縮與表面張力降低效應(二)
> 二甲亞砜與二甲苯異構體混合物的體積收縮與表面張力降低效應(一)
> 表面能與表面張力對凍干制劑中“小瓶霧化”現象的影響機制研究
> 新型懸滴實驗系統的研制與二甲基亞砜/甲醇混合物表面張力測量(二)
> 新型懸滴實驗系統的研制與二甲基亞砜/甲醇混合物表面張力測量(一)
> 噻噸酮光敏劑體系:光電轉換與顯色特性的深度解析
> 溫度、締合強度、截斷半徑對球形空腔中締合流體界面張力的影響(二)
> 溫度、締合強度、截斷半徑對球形空腔中締合流體界面張力的影響(一)
液體混合物表面張力計算公式
來源: 瀏覽 2407 次 發布時間:2023-06-06
液體混合物表面張力數據是過程和理論研究所必需的基礎數據,對于液體混合物表面張力測定、關聯和推算已成為化工和理論研究的重要課題。下面分享液體混合物表面張力計算公式。
UNIFAC模型
UNIFAC功能基團活度系數模型是UNIQUAC(Universal Quassi-Chemical)模型基團化的結果。UNIQUAC模型是Abrams和Pranusniz在1975年根據液體胞腔理論、Guggenhein的似化學方程(quasi-chemical equation)并結合Wilson局部組成概念發展而成。它是基團貢獻法的成就之一,它的基本思想是把混合物種組分的活度系數與組分之間的能量相互作用參數聯系起來,當使用這些參數推算在遠離臨街條件下非電解質液體混合物的活度系數時,除系統溫度和壓力外僅需知道混合物中各組分的分子結構和必要的集團參數,并不需要有關聯特定的混合物的實驗數據。
Butler方程
大多數關于液體混合物表面張力的描述都是建立在將液體表面層看作是一個氣液相之間的獨立的體系的假設之上的,基于這一假設,結合經典熱力學理論,可導出關于液體混合物表面張力的計算公式Bulter首先于1932年從熱力學理論出發,導出液體混合物表面張力的理論公式:
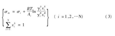
式中σm代表液體混合物表面張力,σi是純組分i的表面張力,Ai和分別為組分的摩爾表面積,和分別是組分表面相和體相中的活度,R為氣體常數,T是體系的絕對溫度,N為體系的組分數。為了使UNIFAC模型與Buttler方程相結合,實現UNIFAC基團貢獻法對液體混合物表面張力的推算,本文利用兩個基本假設:
式中Vi是純組分i的液體摩爾體積,N為Avogadro常數(6.023×1023)。
從假設(1)可得到如下方程組:
計算結果顯示采用此方法對液液體系的表面張力的推算改進不明顯。誤差原因:1)偏摩爾表面積;2)數據來源使用的是通過氣液數據進行回歸參數,如果采用寫體混合物表面張力的實驗數據進行回歸效果會好;3)計算的體系較少。





