合作客戶/
拜耳公司 |
同濟大學 |
聯合大學 |
美國保潔 |
美國強生 |
瑞士羅氏 |
相關新聞Info
推薦新聞Info
-
> 溫度和碳碳雙鍵數對脂肪酸酯表面張力的影響(二)
> 溫度和碳碳雙鍵數對脂肪酸酯表面張力的影響(一)
> 二甲亞砜與二甲苯異構體混合物的體積收縮與表面張力降低效應(二)
> 二甲亞砜與二甲苯異構體混合物的體積收縮與表面張力降低效應(一)
> 表面能與表面張力對凍干制劑中“小瓶霧化”現象的影響機制研究
> 新型懸滴實驗系統的研制與二甲基亞砜/甲醇混合物表面張力測量(二)
> 新型懸滴實驗系統的研制與二甲基亞砜/甲醇混合物表面張力測量(一)
> 噻噸酮光敏劑體系:光電轉換與顯色特性的深度解析
> 溫度、締合強度、截斷半徑對球形空腔中締合流體界面張力的影響(二)
> 溫度、締合強度、截斷半徑對球形空腔中締合流體界面張力的影響(一)
液體表/界面張力測量方法概述
來源:奈奈生 瀏覽 1449 次 發布時間:2022-10-08
表面張力是由物態內部的分子(或原子)間的相互吸引力導致的,拿液體為例,液體內部分子之間的吸引力一般比氣體中分子之間或氣體與液體之間的分子之間的吸引力要大。表面張力的起因實際上是界面所造成的不對稱,是一個位于表面內的力。嚴格地說表面是指液體與其本身的飽和蒸汽間形成的特殊相界面,而界面則是通指一液體與另一互不相如溶的液體(或流體)之間形成的相界面。這里提到的內容既適用于表面,也適用于界面,所以二者不嚴格區分,除非特殊提及。
要擴大一個一定體積的液體的表面,那么需要向這個液體作功。表面張力被定義為在擴大一單位面積的液體表面時所要作的功,因此表面張力也可以被看作是表面能的密度。
insect on water表面張力是一種物理效應,它使得液體的表面總是試圖獲得最小的、光滑的面積,就好像它是一層彈性的薄膜一樣。其原因是液體的表面總是試圖達到能量最低的狀態。由于球面是同樣體積下面積最小的幾何形狀,因此在沒有外力的情況下(比如在失重狀態下),液體在平衡狀態下總是呈球狀。
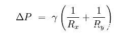
表面張力的存在使得一表面/界面兩邊的壓力不再相同,這一壓力差的大小取決于界面張力及屆面的曲率,可用楊-拉普拉斯(Young-Laplace)公式來描述:
液體的表面/界面張力可直接測量。測量的方法大多基于對表面/界面施加一外力,從而引起其變化,通過測量施加的力和/或其變化的程度,就可計算出表面/界面張力的值。
表面/界面張力的測量方法可根據直接測量的物理量分為:
力測量法
壓力測量法
界面形狀分析法
力測量法掛環法通常是運用一探針使其與待測的界面接觸,然后通過一天平來測量施加/作用在探針上的力。為了保證界面在探針表面上的潤濕性,探針通常由金屬(如Platinum)制成。常見的方法有:
掛環法(Du Nouy Ring method):這可能是測量表面/界面張力的最經典方法,文獻上報道的許多液體的表/界面張力值是用這一方法測得,它甚至可以在很難浸濕的情況下被使用。用一個初始浸在液體的環從液體中拉出一個液體膜(類似肥皂泡),同時測量提高環的高度時所需要施加的力。
威廉米平板法威廉米平板法(Wilhelmy Plate method):這是一種很普遍的測量方法,尤其適用于長時間測量表面張力的測量。測量的量是一塊垂直于液面的平板在浸濕過程中所受的力。
其實也可以用其它幾何形狀的探針如圓棒,球等來代替平板,測量原理相同,被稱為改變威廉米平板法(Modified Wilhelmy Plate method)。
壓力測量法是通過測量界面兩邊(兩相)的壓力差,然后運用上述的楊-拉普拉斯(Young-Laplace)公式來計算表面張力。常見的方法有:
毛細管升高法毛細管升高法:當液體與毛細管管壁間的接觸角小于90度時(浸潤的),管內的液面成凹面,彎曲的液面對于下層的液體施加負壓力,導致液面在毛細管中上升,直到壓力平衡為止。通過測量液面升高的高度,及已知毛細管內徑和液體與毛細管管壁間的接觸角(通常默認為是0),就可計算出表面張力。這是一很經典及直觀的方法,所以經常被用來作為教學示范和學生實驗。
最大氣泡法:泡剛形成時,由于表面幾乎是平的,所以曲率半徑R極大;當氣泡形成半球形時,曲率半徑R等于毛細管半徑r,此時R值最小。隨著氣泡的進一步增大,R又趨增大,直至逸出液面。測得了氣泡成長過程中的最高壓力差,在已知毛細管半徑的情況下就能計算出表面張力。
本方法非常適用于測量表面張力隨時間的變化,所謂的動態表面張力。
界面形狀分析法是基于對一處于力平衡狀態的界面的形狀的分析,是一種光學分析法。
懸滴法/座滴法:適用于界面張力和表面張力的測量。也可以在非常高的壓力和溫度下進行測量。測量液滴的幾何形狀。詳細描述參見這里。
旋轉滴法:可用來測定表/界面張力,尤其適應于低范圍(0.1mN/m以下)界面張力的測量。測量的值是一個處于比較密集的物態狀態下旋轉的液滴的直徑或總體幾何形狀。
(液滴)體積法:非常適用于動態地測量表/界面張力。測量的值是一定體積的液體分成的液滴數量。
液滴體積法其實是懸滴法的一種極端情況:懸滴的體積增大到無法再由表/界面張力來支撐,而導致表/界面撕裂而掉下。但掉下的并不是整個液滴的體積,有部分剩留在毛細管/針管管端口上,這使得掉下的液滴的體積無法精確計算,需要加入經驗校正因子。





