合作客戶/
拜耳公司 |
同濟大學 |
聯合大學 |
美國保潔 |
美國強生 |
瑞士羅氏 |
相關新聞Info
-
> 基于表面張力等分析油酸鈉體系下磁化處理對赤鐵礦和石英浮選分離效果的影響
> 常見多元醇(乙二醇、甘油、季戊四醇、山梨醇等)在化妝品中的作用
> 雙內凹結構表面可實現對低表面張力液體的穩固超排斥
> 不同結晶結構的脂肪晶體顆粒界面自組裝行為、儲藏穩定性研究
> 毛細現象:表面張力和接觸角兩者有什么關系?
> 硝化纖維素塑化效果與其表面張力的變化規律
> 彎曲界面產生的額外附加壓力,在力學分析上應該和哪個力平衡?
> 高鹽低滲油藏中超低界面張力表面活性劑多段塞調驅機理與應用效果(二)
> 3種不同類型噴霧助劑對氟啶蟲胺腈藥液表面張力及在蘋果葉片潤濕持留性能測定(三)
> 不同溫度下陰-非離子雙子星座表面活性劑表面張力的變化
推薦新聞Info
-
> 二甲亞砜與二甲苯異構體混合物的體積收縮與表面張力降低效應(二)
> 二甲亞砜與二甲苯異構體混合物的體積收縮與表面張力降低效應(一)
> 表面能與表面張力對凍干制劑中“小瓶霧化”現象的影響機制研究
> 新型懸滴實驗系統的研制與二甲基亞砜/甲醇混合物表面張力測量(二)
> 新型懸滴實驗系統的研制與二甲基亞砜/甲醇混合物表面張力測量(一)
> 噻噸酮光敏劑體系:光電轉換與顯色特性的深度解析
> 溫度、締合強度、截斷半徑對球形空腔中締合流體界面張力的影響(二)
> 溫度、締合強度、截斷半徑對球形空腔中締合流體界面張力的影響(一)
> 一文讀懂什么是超微量天平
> LiF-CaF?-Yb?O?熔鹽體系表面張力的測定及其對Ni-Yb合金電解的指導意義(二)
不同干燥方式對蛋清蛋白功能特性、溶解度、接觸角、表面張力的影響(四)
來源:食品工業科技 瀏覽 198 次 發布時間:2025-10-28
2.8不同干燥方式蛋清蛋白的表面張力分析
表面張力是液體自由表面或兩種不相溶液體之間界面上的一種拉力,與蛋白質的乳化性和起泡性息息相關。從圖6C可知,在2.0~10.0的pH范圍內EWP-P的表面張力均大于EWP-D,這可能是EWP-D較高的溶解度影響了蛋白質在界面的擴散速度所導致。在pH2.0時,EWP-P和EWP-D的表面張力最大,分別為48.36±0.50和48.30±0.26 mN/m。隨著pH的增大EWP-P和EWP-D的表面張力均先減小后增大,與溶解度(圖6A)的趨勢相似,這可能是因為在酸性條件下,卵清蛋白表面的疏水基團會增加,從而降低了蛋白質分子在界面上吸附的動力學障礙,所以EWP-P和EWP-D的表面張力在酸性環境下更大。
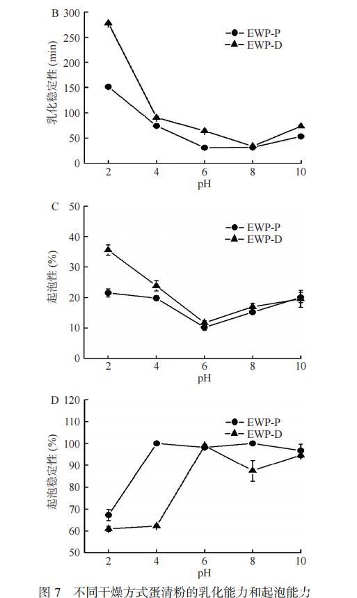
2.9乳化能力和起泡能力分析
蛋白質的溶解度和表面張力等特性在決定其乳化能力等方面起著重要作用。如圖7A,EWP-P和EWP-D的乳化性隨著pH的增高先減小后增大,與溶解度(圖6A)和表面張力(圖6C)的趨勢一樣。pH為2.0時,兩者的乳化能力最好,其乳化性分別為5.98±0.04和6.25±0.02 m2/g,乳化穩定性分別為151.48和277.85 min。酸性環境下卵清蛋白表面暴露了更多的疏水氨基酸和帶電基團,可以有效地幫助乳狀液體系的形成和物理穩定,因此在酸性環境下EWP-P和EWP-D的乳化性和乳化穩定性均更高。EWP-D的乳化性優于EWP-P,這是因為蛋白質的乳化性與其溶解度密切相關,溶解度較大,乳化性也相對較高。此外,卵清蛋白是一種典型的含糖鏈的球蛋白,其糖鏈具有較強的界面吸附作用,有利于油水界面的乳化。EWP-P在噴霧干燥時的美拉德反應消耗了蛋清蛋白中的糖,故其乳化性較小。
圖7不同干燥方式蛋清粉的乳化能力和起泡能力
泡沫的形成依賴于由蛋白質形成的界面膜及其在懸浮液中保持氣泡和減緩聚結速率的能力,其中蛋白質的發泡能力和穩定性與蛋白與水相在界面上的相互作用有關,受蛋白分子柔性、凈電荷、構象和疏水性的影響。蛋清蛋白在pH2.0~10.0條件下的起泡性如圖7C所示,EWP-D的起泡性優于EWP-P,這可能是由于EWP-D的溶解度較高,在起泡過程中蛋白能迅速展開,形成能同時連接水相溶劑與空氣界面的兩性介質,而自身的帶電性又可產生一定的靜電排斥,使蛋白分子在空氣-水界面上呈現規律性排列,而不會發生聚集。相比之下,EWP-P在高溫發生的美拉德反應會使蛋白形成更大的空間位阻,進而延緩了蛋白質在空氣/液體界面的吸附。pH為6.0時,EWP-P和EWP-D的起泡性較低,分別是10.19%±1.01%和11.7%±0.66%,這是由于該pH下蛋白的溶解度和表面張力較低,蛋白易發生聚集,故不易形成泡沫。
Dabbour等研究向日葵蛋白時也發現所有的蛋白樣品在pH6.0時的起泡性最低,且冷凍干燥樣品的起泡性優于對流烘箱干燥樣品。另一方面,泡沫穩定性與蛋白膜的強度有關,蛋白質在攪打時,蛋白質分子被吸附在空氣-水界面,蛋白質分子重新排列,使其疏水部分朝向氣相方向,這種變化容易引起巰基的氧化,在空氣-水界面與相鄰的蛋白質分子中的巰基形成二硫鍵,從而增強界面膜的強度,有利于泡沫穩定性。EWP-P的泡沫穩定性大于EWP-D,可能是因為噴霧干燥可能導致更多的蛋白質展開,表面游離巰基含量較多。另一方面可能是因為EWP-P發生了美拉德反應,在空氣-水界面上可以形成的厚的粘彈性美拉德產物層,有利于泡沫穩定性的增加。Zeng等研究不同干燥方式對雞皮膠原蛋白多肽時也發現噴霧干燥使其蛋白樣品的泡沫穩定性優于冷凍干燥樣品。
2.10不同干燥方式蛋清蛋白的乳液微觀結構分析
EWP-P和EWP-D經高壓均質機均質0、1、2次后所得乳液的微觀結構如圖8所示。未高壓均質的蛋清蛋白乳液油滴大,且不均一,蛋白質容易從油水界面解離出來,使小油滴聚集形成大油滴。均質1次后蛋清蛋白乳液的油滴尺寸減小,分散性提高,且未發生團聚現象,其原因可能是高壓均質后,蛋清蛋白乳液被高壓剪切力切割形成小分子,使蛋清蛋白粒徑減小,更多的蛋白質吸附至油-水界面,為液滴間提供足夠的排斥力,從而阻止乳析的發生,使蛋清蛋白乳液的穩定性增強。均質2次后,兩者均出現了小程度的團聚現象,形成了較大的油滴,這可能是因為均質次數增多,體系出現了“過處理”效應,高壓使蛋清蛋白乳液的油滴變小,油滴之間的運動速率加快,增加了相互碰撞的次數,從而破壞界面膜,導致油滴聚集。劉競男等研究高壓對大豆分離蛋白的影響時也發現隨著均質次數的增多,大豆分離蛋白的乳液體系出現了“過處理”效應,這被歸因為部分解離的大豆蛋白分子重新通過新的二硫鍵形成了聚集體。EWP-P的團聚現象比EWP-D的更明顯,可能是因為EWP-P的溶解度較低且表面巰基含量較高,故更易于聚集。以上結果表明,EWP-D乳液的穩定性高于EWP-P,說明真空冷凍干燥更有利于蛋清蛋白的乳液穩定。
圖8不同干燥方式蛋清粉乳液的微觀結構(400×)
注:A.熒光倒置顯微鏡;B.激光掃描共聚焦顯微鏡,B圖中EWP標記為綠色,油相標記為紅色。
3.結論
蛋清蛋白經過不同干燥方式干燥后,其結構會發生變化,從而導致理化和功能特性不同。噴霧干燥會使蛋清蛋白內部疏水基團和巰基暴露,同時還會與蛋清中的糖發生美拉德反應,最終使蛋白的溶解度、乳化性以及起泡能力下降,但其較高的表面疏水性有利于維持泡沫的穩定。冷凍干燥蛋清蛋白干燥前后的結構變化較小,蛋白基本保持原有的空間構象。相較于噴霧干燥蛋清蛋白,冷凍干燥蛋清蛋白具有較大的比表面積與溶解度,表面張力更小,因此蛋白的乳化能力和起泡性更優。隨著冷凍干燥技術與裝備的日益成熟,本研究的結果可為冷凍干燥蛋清蛋白在新食品開發與加工中的應用提供理論參考。





